Volume 11 Issue 8

Guest Editorial

The Last Puff: Editorial

Abdul Gatrad

Research Article

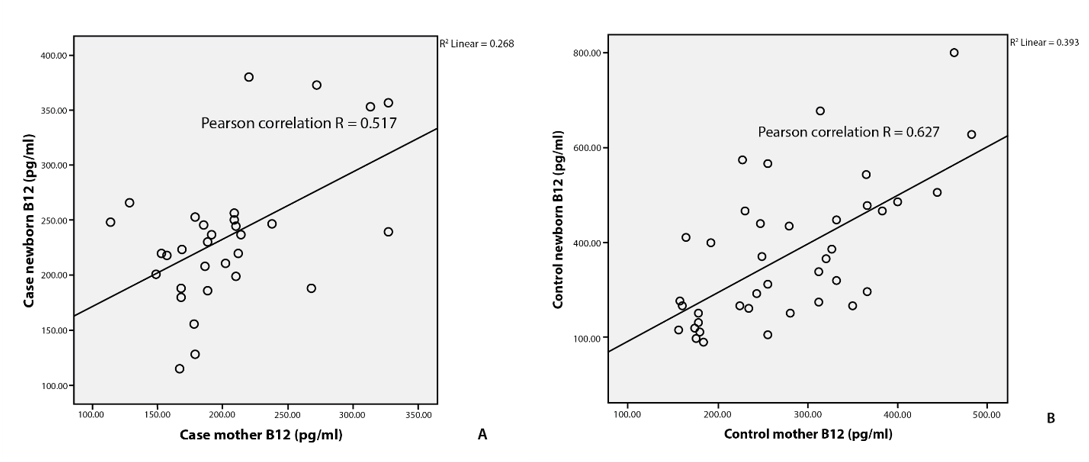
Association of Neural Tube Defects with Maternal and Neonatal Serum Vitamin B12 Level in Bangladesh: A Multicenter Case Control Study

Fakhrul Amin Badal, Abu Faisal Mohammad Pervez, Mohammod Shahidullah, Md. Abdul Mannan, Sanjoy Kumar Dey, Mohammad Kamrul Hasan Sabuj and Ferdous Jahan Binte Rashid

Research Article

Experience of One and Half Decades of Newborn Screening in India

R Kishore Kumar, Akash Nevilebasappa, Arvind Shenoi, Nandini Nagar and Hari Das

Research Article

Protocol for Economic Evaluation of a cRCT on Screen and Treat Strategy for Anemia Reduction in Rural India

Anju Sinha, Deepshikha Sharma, Apoorva Mathur, Bharati Kulkarni, Denny John, Somen Saha and Shankar Prinja

Research Article

Estimation and Comparison of Vitamin D Levels and its Interactions in Children with and without Cerebral Palsy

Akshay Jadhav, Sajitha Nair, Sasidharan Ponthenkandath and R Sundaram

Case Report

Generalized Tetanus in an Unvaccinated Schoolgirl: Case Report

Ulises Alejandro Castaneda Pena, Ramirez Lara Marissa E, Garcia Conde Carlos A, Rosas Alfonso Trinidad A and Martinez Tovilla Yaneth

Case Report

Histamine Angioedema in Children: A Rare Entity Not to be Misunderstood

K El Fakiri, C Fikri, N Rada, G Draiss and M Bouskraoui

Case Report

Post Traumatic Anterior Interosseous Nerve Syndrome in a Child, Wait and See Approach - A Case Report

Asha Satish Barge, Satish Mahadeo Barge, Siddhesh Satish Barge, Kapil Ravikant Jagtap and Shivam Sambhaji Salunkhe

Case Report

Primary Syphilis, Inoculation Chancre and their Differential Diagnoses

Maria Ines Sormani, Ana Buchovsky, Juliana Carrafancq, Pedro Nunez and Fernando Gonzalez

Case Report

Electrical Injury and Drowning in a Pediatric Patient. Case Report

Minutti Galeazzi Stefano, Leon Lopez Magdalena, Coral Garcia Miguel Angel, Lopez Santos Hector Alfonso, Perez Dosal Marcial, Barbosa Contreras Meylin and Martinez Tovilla Yaneth

Case Report

Incontinentia Pigmenti in Infant Girl, a Genetic Condition - A Rare Case

Vikram Singh Katodia, Yasmin Sarao, Diljot Singh Bedi, Kanwar Shabaz Singh Sandhu, Harnoor Singh Sandhu and Avineet Kaur

Short Communication

Atrial Flutter: A Rare Rhythm Disorder in Neonates

Vivel Zareth Arrieta Diaz, Orlando Andres Velandia Gonzalez, Yojandrys Janeth Najera Jaramillo and Yoselin Yuceth Rocha Jaramillo